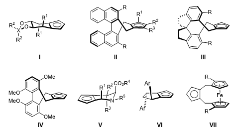
开发新的手性配体和催化剂是不对称催化领域永恒的课题。众所周知,手性环戊二烯 (Cp) 配体在过渡金属催化的不对称碳氢键活化反应研究中占据着重要地位。如图1所示,经科学家的不懈努力,目前已成功开发出几类手性Cp配体。然而,随着不对称碳氢活化反应研究的蓬勃发展,显然这有限的几种Cp配体很难满足科学家们丰富的科研需求。

图1 应用于不对称碳氢活化的几种手性Cp配体
我校化学学院汪君教授自独立开展研究工作以来,一直致力于不对称惰性碳氢键活化反应研究。近年来,利用手性联萘Cp配体II和手性螺环配体III实现了一系列不对称碳氢键活化反应(Angew. Chem. Int. Ed. 2019, 58, 6732;Angew. Chem. Int. Ed. 2018, 57, 4048;Org. Lett. 2020, 22, 3586;Org. Lett. 2020, 22, 3219)。另外,他们报道了一种基于手性二茂铁骨架的Cp配体VII,并将其应用于催化不对称C−H 键活化反应中(Chem.—Eur. J. 2020, doi: 10.1002/chem.202001814)。基于以上研究工作基础,近日,汪君课题组发布了一类手性[2.2.2]桥环环戊二烯铑(CpRh)催化剂,并将其成功应用于不对称碳氢活化反应,以高对映选择性合成了多种手性氢化菲啶酮类化合物 (图2-3)。该成果是首例将手性桥环CpRh络合物应用于不对称碳氢活化反应的报道,同时也为不对称碳氢活化提供了新的催化剂选择。
手性[2.2.2]桥环Cp配体最早由Halterman和Vollhardt于1987年报道,但遗憾的是,该类Cp配体一直都没有引起人们的关注,其在不对称催化反应中的应用也基本是一片空白。近日,汪君课题组通过参考并优化Halterman的合成方法,从1,4二烷基取代苯出发,经过5步合成了三种光学纯的手性Cp配体,并成功制备了相应的手性CpRh(I) 络合物 (图2)。其中,环己基取代的络合物 Rh-1的结构通过单晶X-射线衍射得到确认。有趣的是,当与手性联萘CpRh和螺环CpRh络合物的单晶结构进行对比时,发现桥环CpRh的 “side wall”——环己基在竖直方向更加伸展,而在水平方向较为紧凑。另外,单晶数据还表明该催化剂的“side wall”更靠近中心金属。催化剂的这些结构特点预示着其可能具有独特的催化性能。

图2手性桥环CpRh(I)络合物的合成及其单晶结构
之前汪君课题组曾发表过一例手性螺环CpRh催化的N-甲氧基苯甲酰胺与醌的不对称C−H键活化反应。尽管他们对该反应开展了细致的条件优化,但终未能获得理想的对映选择性,对于标准反应只得到85î,而对于其它大多数底物也只能获得小于90î(Org. Lett. 2020, 22, 3219)。可喜的是,当使用手性桥环CpRh催化剂Rh-1时,可以得到优异的对映选择性(图3),体现出该类桥环Cp催化剂在不对称碳氢键活化中具有较大的应用潜力。

图3手性桥环CpRh催化剂在不对称碳氢键活化中的应用
该成果近期发表在化学Top期刊Angewandte Chemie International Edition。论文第一作者是jinnianhui今年会化学学院2016级博士生李国柱,通讯作者为jinnianhui今年会化学学院汪君教授。该研究得到了国家自然科学基金的支持。论文完整信息为:Guozhu Li (李国柱),Xiaoqiang Yan (闫晓强),Jijun Jiang (江继军),Hao Liang (梁昊),Chao Zhou (周超),Jun Wang (汪君)*,Chiral Bicyclo[2.2.2]octane-Fused CpRh Complexes: Synthesis and Potential Use in Asymmetric C−H Activation, Angew. Chem. Int. Ed. 2020, doi: 10.1002/anie.202010489。
论文链接:https://onlinelibrary.wiley.com/doi/10.1002/anie.202010489