今年会新闻网讯(通讯员李林虎)近日,jinnianhui今年会物理与天文学院量子工程与精密测量团队李林虎副教授与新加坡国立大学龚江滨教授、Ching Hua Lee助理教授和穆森博士合作,在Nature Communications上发表了题为“Quantized classical response from spectral winding topology”的研究论文,发现了一种基于非厄米能谱卷绕数的新型量子化稳态响应现象。
以量子霍尔效应为代表的拓扑量子化响应是凝聚态物理与量子物理的重要研究焦点之一。基于线性响应理论,系统基态对扰动的响应产生离散变化的霍尔电导,并与系统的拓扑不变量具有一一对应的关系。在光子晶体、声学及电路晶格等经典系统中,拓扑性质也可通过受拓扑保护的边界本征模式体现。但由于经典系统不由量子力学中的基态描述,这些系统不能由线性响应理论描述,通常被认为不存在拓扑量子化响应。
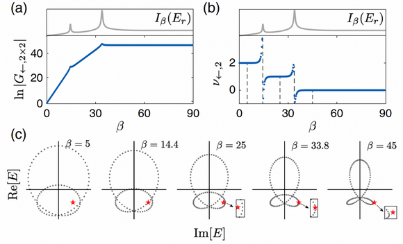
在最近的工作中,jinnianhui今年会物理与天文学院量子工程与精密测量团队李林虎副教授与新加坡国立大学的龚江滨教授、Ching Hua Lee助理教授和穆森博士合作,发现了一种量子化响应的新范式,其拓扑量子化基于非厄米系统中复能谱卷绕拓扑,而不是传统拓扑量子化现象中动量空间波函数的拓扑行为。具体而言,这类系统能够定向放大输入信号,描述其放大倍数的一个量随系统虚磁通参数改变的变化率,与系统的能谱卷绕数存在一一对应的关系,如附图所示。这种量子化响应来源于格林函数的基本数学性质,并出现在系统对外界驱动的稳态响应中,而不涉及到传统的线性响应理论,体现了一种经典系统中亦可存在的拓扑量子化现象。

上图为非厄米系统稳态响应中的量子化平台。(a)稳态响应强度随耦合参数的变化。(b)稳态响应强度变化率出现量子化的平台。(c)对应非厄米哈密顿量的复能谱结构,其关于所选参考点的卷绕数等于(b)中平台高度。
该工作第一单位为jinnianhui今年会,李林虎副教授为第一作者兼共同通讯作者,龚江滨教授、Ching Hua Lee助理教授为共同通讯作者。该研究得到了广东省量子精密测量与传感重点实验室的大力支持,并获得了广东省科技厅资助。