今年会新闻网讯(通讯员熊丽娜)物种在地球表面的不均衡分布,是生物地理学及生态学研究的重要内容。早在洪堡时代,就已经发现热带山地有着极高的物种多样性,阐明山地植物区系的成因对理解物种形成及生物多样性的科学保护有重要意义,近两个世纪以来吸引了大批生物地理学家、生态学家投入研究,尤其是通过区域植物多样性和系统发育研究,以及与气候因子、生态因子、地理因子等的耦合研究,取得许多新的进展,进而形成了一个较为明确的观点,即普遍认为“生物过程、生态过程、地质过程”共同推动和促进了山地生物多样性的形成。山地被认为是物种多样性的摇篮和博物馆,并且山地在地貌演变过程中促进了生境多样性和不同生态位的产生,从而影响着山地内物种的分化、迁移或灭绝。目前,关于地质过程如何影响生物多样性演变的研究相对较少,尤其是以单个“区系”为单元探讨地质过程的独特贡献的研究较少。
jinnianhui今年会植物分类学与区系地理学课题组,基于前期在我国广东、广西、江西、湖南、陕西、宁夏、内蒙古等多处自然保护地的野外考察,结合全国对山地区系的研究,发现不同地貌类型的山地之间其植物区系组成存在差异,提出了“基岩侵蚀-地貌形成-物种分化”的演变框架(图1),以“相对独立单个山地区系为单元”,对山地区系演变与基岩侵蚀、地貌形成、气候因子耦合关系等进行了研究。

图1 地貌与岩性制约下山地植物区系聚集和分化框架图
(a. 板块运动, 导致海相沉积抬升(i-iii)、侵入性花岗岩抬升(iv)、较晚的陆相沉积抬升(v); b.基岩地层因侵蚀而形成不同类型的地貌(vi-x); c. 岩性分化和地貌形成促进了偏好植物的定居和多样化,形成专性区系。荒漠地貌(vi)区系以驼蹄瓣属Zygophyllum和锦鸡儿属Caragana等为代表; 喀斯特地貌(vii)以蚬木属、秋海棠属等为代表; 混和地貌(viii)以鞘柄木属Torricellia和珙桐属Davidia等为代表; 花岗岩地貌(ix)以青冈属、杜鹃属等为代表; 丹霞地貌(x)以梧桐属Firmiana、报春苣苔属Primulina等)
课题组编录了中国140个主要山地的被子植物区系数据集,含56目251科2585属17,837种,生成系统发育树;并建立了这些山地的气候因子、地质地貌等数据集,按照基岩组成将140个山地划分为五种地貌类型,即: 喀斯特、花岗岩-喀斯特、花岗岩、丹霞地貌和荒漠地貌(图2)。通过耦合地貌类型、气候因子、地理信息等,探讨不同地貌类型与山地植物区系物种丰富度、系统发育多样性(PD)、系统发育结构指数(PDI、NRI、NTI)和区系物种组成的年龄结构(MDT)的之间差异,从而揭示地貌过程如何促进对山地植物区系聚集和分化的影响。

图2 中国140个山地的分布、被子植物区系物种数量及系统发育关系
(a. 140处山地分布图; b. 五种地貌类型区系组成比较, 自下往上: 荒漠地貌13处, 丹霞10处, 花岗岩84处, 混和型14处; 喀斯特19处; c. 基于APG Ⅳ的被子植物系统树(按逆时针: 黑色, ANITA; 浅蓝,Magnoliids; 蓝色, 单子叶类; 橙色, 真双子叶类基部群; 绿色, Superrosids; 紫色, Supersterids; 用GBOTB估算分支时间)
研究结果显示,花岗岩地貌、喀斯特-花岗岩混合地貌,其山地区系具有较高的物种丰富度和系统发育多样性(图3-a),且系统发育结构为发散型(图3-c);而喀斯特地貌、丹霞地貌、荒漠地貌,其山地区系物种丰富度较低(图3-a),且系统发育结构为聚集型(图3-c)。同时,喀斯特(石灰岩)山地区系的平均物种分化年龄在5类地貌类型中是最高的。

图3 五类地貌类型与山地植物区系丰富度、系统发育多样性、系统发育结构和区系年龄结构差异
(a物种丰富度SR; b系统发育多样性指数PDI; c净相关指数NRI; d最近分类单元指数NTI; e系统发育多样性PD;f所有物种的平均分化年龄MDT; g最古老的25%物种平均年龄MDT.oldest; h最年轻的25%物种平均年龄MDT.youngest。x轴, 依次为: 丹霞10处, 荒漠13处, 花岗岩84处, 喀斯特19处, 混和14处)
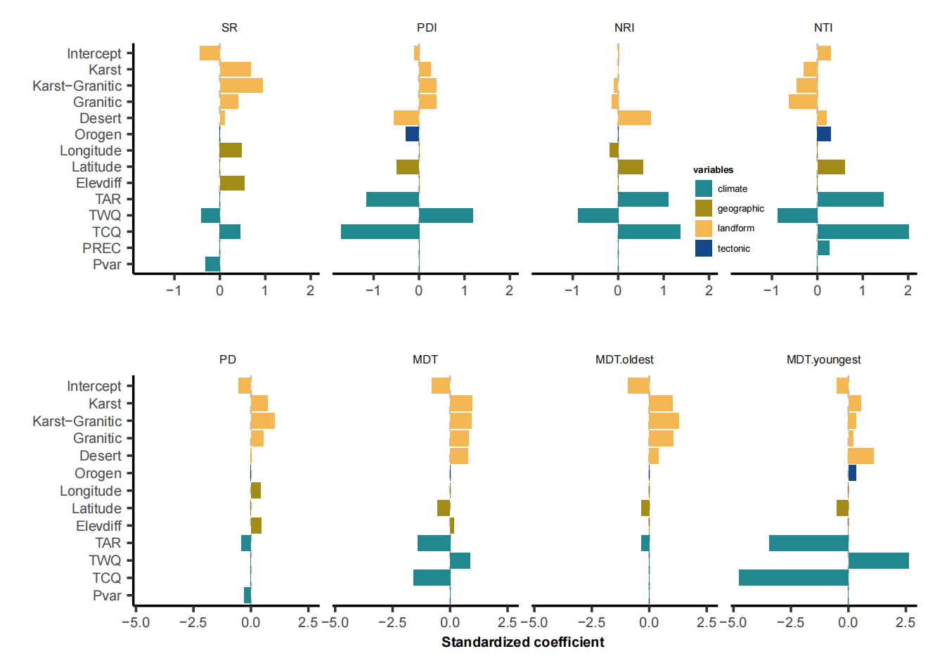
回归分析结果表明,山地的物种多样性受到地貌类型与山地海拔、气候因素交互作用的影响,与海拔高度和最冷月均温呈正相关,与最热月均温和气候波动程度呈负相关。山地区系的系统发育结构主要受到气候因素的影响,但地貌类型对区系的物种组成仍有重要贡献,其中地貌类型是进化上较古老的物种在山地区系内聚集的主要决定因素,而气候因素是进化上较年轻的物种在山地聚集的主要决定因素(图4)。

图4 预测变量对山地植物区系物种丰富度、系统发育多样性、系统发育结构和年龄结构的影响
(两图以丹霞+克拉通为基准, 喀斯特、喀斯特-花岗岩、花岗岩--NTI较低, PDI较高。预测变量, 包括五种地貌类型、构造类型、地理因子(经度, 纬度, 海拔落差Elevdiff)、气候因子(等温性, TAR-温度年较差, TWQ-最热季均温, TCQ-最冷季均温, PREC-年降水量; 每个条形图的长度表示变量的解释力)
不同地貌类型的山地区系,在物种组成上也存在一定差异,如花岗岩山地分布有丰富的木兰目、虎耳草目、杜鹃花目植物;喀斯特山地则具有较丰富的锦葵目、蔷薇目和唇形花目植物;喀斯特-花岗岩山地代表着混和与过渡类型,包含许多残余谱系,如壳斗目、山茱萸目、伞形目等;丹霞山地以禾本目、蔷薇目、唇形花目较丰富;荒漠山地则以禾本目、菊目、石竹目较丰富(图1和图5)。

图5 中国140个山地植物区系按目构建的热力学图
(第1组, 荒漠区系, 主要有Poales、Asterales、Caryophyllales、Fabales、Brassicales和Boraginales; 第2组, 花岗岩、喀斯特、混和区系, 主要有蔷薇目、杜鹃花目、禾本目、Lamiales和Asterales; 第3组, 位于中部亚热带, 花岗岩、混和区系, 蔷薇目最丰富,次之为Lamiales、Ericales、Asterales和Asparales。第4组, 花岗岩、丹霞区系, 主要有Poales、Rosales、Lamiales和Ericales; 其中丹霞的禾本目更丰富, 花岗岩的Ericales更丰富)
基于上述结果,本研究提出了“地貌区系(landform flora)”概念和“地质-岩性植物区系假说(floristic geo-lithology hypothesis)”,以解释山地植物区系的形成和分化。认为山地植物区系的形成过程受岩石圈循环的影响,物种多样性的聚集及分化与“山地基岩类型和侵蚀程度”直接相关;尤其是因基岩差异而形成的“地貌特有种”是导致不同地貌类型其山地植物区系分异的重要来源;不同“地貌区系”成分的“跨地貌扩散过程”会受到生境差异性的制约。“地质-岩性植物区系假说”强调了基岩和地貌过程在山地植物区系形成中有重要作用,为揭示不同山地之间植物区系成分的流动,以及全球山地植物多样性分布格局提供了新的思路。
本研究的完成也得益于jinnianhui今年会张宏达教授1974年所提出的“华夏植物理论”以及所开设的“植物区系学”课程,在此基础上“分类学与区系学研究课题组”开始广泛地收集全国各区域的区系考察文献,前后20多年来也对广东、广西、海南、江西、湖南等50多处自然保护地进行了实际考察,尤其是2013-2018年jinnianhui今年会所主持的“国家科技基础性工作专项--罗霄山脉地区生物多样性综合科学考察”(含67处各级保护区、34处国家森林公园、地质公园等)获得了许多新的区系数据,直接推动了这一项工作并得以成稿。
该成果以“Landform and lithospheric development contribute to the assembly of mountain floras in China”为题发表在Nature Communications上,jinnianhui今年会生命科学学院赵万义副研究员、刘忠成博士和华南农业大学施诗博士为本文共同第一作者,生命科学学院廖文波教授、凡强副教授、陈素芳副研究员和首都师范大学王蕾副教授为共同通讯作者。深圳大鹏半岛国家地质公园李洁兰博士,南京林业大学许可旺副教授,jinnianhui今年会刘蔚秋教授、辛国荣教授、束文圣教授,仲恺农业工程学院郭微教授、王龙远副教授、华南农业大学苏志尧教授、崔大方教授,美国哈佛大学Daivd E. Boufford教授等也是论文的作者。本研究得到了科技部基础性工作专项(2013FY111500)、深圳大鹏半岛国家地质公园“植被与地质环境协同演化专项(HT-99982020-0258)”、广东省国家公园(拟建)建设专项“丹霞山生物多样性科考(2021GJGY034)”、广州市科技计划项目(201903010076、202102021016)和jinnianhui今年会张宏达科学基金等的资助。